Absorption spectra and vibrational studies (IR, Raman) of nickel complexes


F. Alary, J.-L. Heully


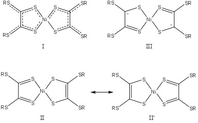
In the literature there are many experimental and theoretical studies around nickel bis(dithiolene) derivatives. Despite their interest for solar energy conversion, their electronic structure is particularly challenging to compute with standard quantum chemistry methods. The formal oxidation state of nickel is controversial. Lewis structures are debated. Bénédicte de Bonneval and Kathleen Chane (LCC, Toulouse) have studied the properties of several derivatives bearing large alkyl substituents (ethyl-hexyl, n-heptyl, methyl-butyl). We have computed absorption spectra, Raman spectra and IR spectra for these systems. We have systematically compared several methods from modern quantum chemistry. TDDFT has failed in reproducing experimental absorption spectra. A multiconfigurational description (MRPT2, MRPT4) was required to properly describe the ground state and the first excited states. We have shown that this was due to the presence of a low lying triplet state near the singlet ground state. We computed Raman and IR spectra using DFT methods, which allowed us to assign the vibration normal modes of these large molecules.

This project has led to 4 publications.

Theor. Chem. Acc. 2010 , 126 , 243 link

Coord. Chem. Rev. 2010 , 254 , 1457 link

New J. Chem. 2012 , 36 , 2033 link

Appl. Phys. Lett. 2014 , 104 , 103302 link

Last updated on Feb 16, 2017 12:22 UTC
Built with Hugo
Theme Stack designed by Jimmy