Calcul de spectres d'absorption et études vibrationnelles (IR, Raman) de complexes de nickel


F. Alary, J.-L. Heully


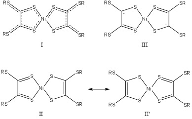
La littérature propose un grand nombre d’études théoriques et expérimentales portant sur les dérivés du nickel bis(dithiolène). Outre leurs intérêts dans les processus de conversion d’énergie solaire, elles possèdent une structure électronique très difficile à décrire avec les outils usuels de la chimie théorique. Le degré d’oxydation formel du Nickel est controversé. L’écriture d’une structure de Lewis des ligands dithiolène s’avère être une tâche difficile et largement débattue selon les cas. Bénédicte de Bonneval et Kathleen Chane (LCC, Toulouse) ont étudié les propriétés de plusieurs complexes neutres qui diffèrent par leur groupement alkyl de grande taille (ethyl-hexyl, n-heptyl, methyl-butyl). Nous avons calculé les spectres d’absorption, spectres Raman et spectres IR. Nous avons fait une étude systématique des différentes méthodes modernes de la chimie quantique. La méthode de TDDFT s’est avérée insuffisante pour reproduire le spectre d’absorption expérimental. Une description multiconfigurationnelle (MRPT2, MRPT4) s’est avérée nécessaire à une bonne description de l’état fondamental et aux calculs des premiers états excités. Nous avons montré, par le calcul, qu’un état triplet se trouvait à proximité de l’état fondamental. Le calcul des spectres Raman et des spectres IR obtenu avec des méthodes DFT a permis d’attribuer les modes normaux de vibrations de ces molécules de grandes dimensions aux fréquences observées.

Ces travaux ont fait l’objet de 4 publications.

Theor. Chem. Acc. 2010 , 126 , 243 lien

Coord. Chem. Rev. 2010 , 254 , 1457 lien

New J. Chem. 2012 , 36 , 2033 lien

Appl. Phys. Lett. 2014 , 104 , 103302 lien

Dernière mise à jour le Feb 16, 2017 12:21 UTC
Généré avec Hugo
Thème Stack conçu par Jimmy